Sleep and Testosterone: How Your Sleep Influences Free-Testosterone Production
If you are serious about your health, or maybe you just want to lose some weight and improve your body composition then the importance of nighttime sleep and testosterone cannot be overlooked.
Many of us aspire to be stronger. The difficult concept that many people don’t realize is that strength is created outside the gym just as much as it is inside the gym.
To a certain extent you need to train hard - especially if you have strength goals. Yet, many people do not realize that proper rest is just as, if not more important to strength and recovery as the amount of time you spend in the gym.
The only way to best understand why recovery - specifically sleep is important is to understand a process known as progressive overload.
Progressive overload is a term used to describe the continuous process of placing more and more stress on the muscle in order to see muscular adaptation. What many people forget about is that higher stress requires higher rest ‒ it’s a two-way process.
Sleep and rest, in general, is not just important when we talk about progressive overload and your recovery, but sleep is also your best tool to naturally ensure the most amount of testosterone production.
Yep, that’s right. Sleep has a large role on the amount of testosterone your body can naturally create. Before we discuss how a lack of sleep lowers testosterone let’s look at other important factors that influence testosterone production.
What Factors Influence Testosterone
There are some very important factors that influence your overall testosterone levels. Let’s walk through some of the most important when it comes to your performance and body composition.
Diet/Exercise
Your particular lifestyle probably has the largest role in your total testosterone levels. Research shows that men who are overweight will have much lower testosterone levels than men that are at a healthy body weight.
Additionally, men who eat food that is not balanced and contains more fats, specifically trans fats will show a heavier weight which correlates to lower testosterone. Simply by becoming more active and engaging in regular exercise, you can begin to not only lose weight but increase your testosterone naturally.
Age
This is one of the unfortunate factors that we cannot control. The more we age, the more the body will naturally decrease its testosterone production.

Men’s testosterone production decrease with age.
Generally, testosterone will start to decrease at a rate of about 1-2% per year after the age of about 25-30.
This means, as you enter your 40’s and 50’s your bodies natural ability to regulate testosterone is much lower.
If this is combined with a bad diet and no exercise you could be in for low testosterone levels.
Fortunately, there is one sure-fire way you can increase your testosterone that has nothing to do with age or diet/exercise.
Get More Sleep
Sleep really is a magical process that the body goes through. Researchers still are not quite sure why the body needs sleep - but either way, without it, you would struggle to find the energy and feel refreshed.
Sleep also plays a large role in testosterone production. During specific phases of your sleep such as deep sleep cycles and during REM cycles your body will secrete free-testosterone.
The difficulty is this will only occur if you are at a certain stage in your sleep.
Importance of Sleep for Testosterone
Most people who start to exercise know that protein is important, they know that carbs are a great source of fuel and that supplements like amino acids can help your body to recover faster - but how many people are watching their bodies natural testosterone levels?
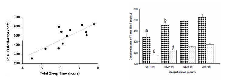
The average male should have about 280 to 1,100 nanograms per deciliter (ng/dL) of testosterone.

Most men will fall around the median amount of 450-500 ng/dl, yet when we observe men with sleeping disorders there is a strong correlation that ties a lack of sleep to a decrease in testosterone levels.
This information might make you start to think about getting more sleep. The healthy, required amount of sleep per night ranges from 7-8 hours, although strength experts will agree that 9-10 hours is best for amplifying testosterone.
New and emerging science are even showing that you don’t need to have a long-standing absence of sleep. Simply by restricting your sleep to 4-5 hours for 1 week can cause a 15% decrease in total testosterone production.
If you’re a strength athlete or simply someone who is trying to lose weight - having high or normal testosterone levels are essential to your success.
Low testosterone will not only hold your back from recovering effectively, but you may also notice weight gain and changes in your mood that are not preferential.
Tips to Improve Nighttime Testosterone Production
Knowing that your body needs to acquire a certain amount of rest in order to maintain and produce natural testosterone, there are some very specific supplements you can take in order to influence sleep for greater performance.
ZMA Complex With L-Theanine
Perhaps the greatest asset to any man’s diet is a ZMA complex. A ZMA complex is the simple combination (with specific doses) of zinc, magnesium and vitamin B-6. These are all common trace minerals that you could obtain through your diet, yet the standard American diet lacks these nutrients.
ZMA complex has been shown to help assist in testosterone production, especially when combined with a specific amino acid called L-Theanine. This amino acid has been shown to promote relaxation and is a great tool for increase sleep which can lead to greater states of testosterone production
D-aspartic acid with Melatonin
The amino acid that has great benefits in the world of testosterone production.
D-aspartic acid is a tried and tested test booster that can enable for greater states of free testosterone - and it goes to work right away.
For this reasons, many athletes will even supplement d-aspartic acid prior to a workout to have a short-term boost in strength and power. When combined with a sleep-enhancing supplement like melatonin you have a powerful agent that can help increase and regulate your body’s production of testosterone while you sleep.
NOTE: If you are looking for a natural supplement to boost your testosterone, I would recommend you check out our recommended T-booster comparison here.
The Importance of Sleep for Higher Testosterone
Many of us struggle to put on muscle and lose weight. To a certain extent much of this could be controlled by factors that are directly linked to testosterone levels. Testosterone levels that could easily be controlled by controlling how much sleep you get each night.
If you are serious about your strength goals, or maybe you just want to lose some weight and improve your body composition than the importance of nighttime testosterone cannot be overlooked.
Sleep is an integral component of your daily life, and as a man is the lifeblood of testosterone production.
For best results, you can grab yourself a nighttime testosterone booster that combines the best ingredients of a ZMA complex with d-aspartic acid.